必赢76net线路官网
网站首页
机构概况
处室领导
部门简介
工作人员职责
办事指南
办事指南
党建园地
党员学习
支部生活
教学运行
教学进程
运行三表
考试考核
督导工作
教务简报
教学诊改
社会扩招
教学建设
专业建设
课程建设
实训基地
国家标准
学籍学历
通知信息
政策制度
工作运行
数据统计
常用下载
质量工程
本科教育
本科动态
课程建设
党团活动
通知公告
社会扩招
社招动态
扩招制度
培养方案
授课资料
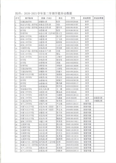
关于必赢官网2020-2021学年第二学期学籍异动情况的通报 教函〔2021〕14号
作者:教务处 发布时间:2021-07-23 信息来源: 阅读次数:
次
【关闭】